
승수효과 (Multiplier Effect, 乘數效果)
경제 현상에서 어떤 경제 요인의 변화가 다른 경제 요인의 변화를 가져와 파급효과를 낳고 최종적으로는 처음의 몇 배 증가 또는 감소로 나타나는 총 효과를 의미한다.
예시) OO구가 OO 고시촌 문제에 촉각을 곤두세우는 것은 고시 산업이 지역에 미치는 경제적 ‘승수(乘數) 효과’ 때문이다.
어떤 원인으로 인해 정부 지출이나 투자 지출이 늘어나면 국민소득은 정부 지출 증가분의 몇 배에 이르는 크기로 늘어난다. 정부 지출의 증가처럼 어떤 변화가 촉매제 역할을 해 결과적으로 총 변화량을 몇 배나 더 큰 폭으로 증가시키는 결과를 ‘승수 효과(multiplier effect)’라고 부른다.
이 승수 효과는 케인스학파가 매우 좋아하던 개념인데, 정부 지출 증가에 명백한 효과가 있음을 입증하여 이를 합리화했기 때문이다.
이 이론에 의하면 정부가 지출을 늘리면 그만큼 일차적으로 가계의 소득이 늘어나게 된다. 소득이 늘어난 가계는 소비를 제외한 금액을 금융기관에 저금할 것이고 이 저축액은 여러 기업의 투자 자금으로 흘러가 생산을 늘리고 관련된 사람들의 소득과 소비 지출을 연달아 올려 준다. 이처럼 정부 지출의 소득 증대 효과가 연쇄적으로 이루어지면서 최종적인 소득 증대 효과는 처음 1차 효과 때보다도 더욱 커지게 된다.
시간이 지나면서 승수 효과란 말은 변화의 원인이 정부 지출에서 벗어나 소비 지출, 투자 지출이나 수출 같은 경제의 주요 수요 변수들이 독립적으로 변화했을 때 연쇄적으로 소득에 얼마나 영향을 주느냐로 그 의미가 확장됐다.
일반적인 경제모델에서는 y를 한계소비성향으로 표시했을 때 승수는

로 표시된다. 따라서 가계의 한계소비성향이 클수록 승수는 높아진다.
[네이버 지식백과] 국가의 지출은 국민소득과 직결된다 - 승수 효과 (시장의 흐름이 보이는 경제 법칙 101, 2011. 2. 28., 김민주)
어떤 경제변량이 다른 경제변량의 변화에 따라 바뀔 때 그 변화가 한 번에 끝나지 않고 연달아 변화를 불러일으켜서 마지막에 가서는 최초의 변화량의 몇 배에 이르는 변화를 하는 경우가 있는데 이러한 변화의 파급관계를 분석하고 최초의 경제변량의 변화에 따라 최종적으로 빚어낸 총효과의 크기가 어떻게 결정되는가를 규명하는 것이 승수이론이다. 최종적으로 산출된 총효과를 승수효과라고 하며 어느 독립변수의 변화에 대해 다른 모든 변수가 어떤 비율로 변화하는가를 나타내는 것을 승수라고 한다.승수효과에 관한 정식화는 R.F. 칸에서 시작되었다. 칸은 고용량의 제1차적 변화는 제2차, 제3차 등의 고용증가로 파급된다는 사실에서 고용승수를 정식화하였다.
그러나 이론체계의 중추부분에 승수이론을 도입한 것은 J.M. 케인즈다. 케인즈의 승수는 투자증가와 그 결과인 소득증가 사이의 투자승수였다. 예를 들면 100억 원의 투자증가가 있으면 100억 원의 소득증가가 발생하는데, 이 소득증가는 한계소비성향(△C/△Y=c=0.6)에 따라 60억 원의 소비재 수요를 유발한다. 이 소비재 수요로 소비재 생산이 행하여지고, 이에 따라 60억 원의 소득증가가 발생하는데, 이는 다시 c배의 소비재 수요를 유발한다. 위와 같은 파급이 일어나 소득증가의 누계는, 100 x (1 + 0.6 + 0.62+0.63+… )=250이 된다. 이처럼 케인즈는 투자승수의 값을 결정하는 것은 한계소비성향이라고 하였다.한편 투자승수 이외에는 정부지출의 증가가 얼마만큼 소득증가를 가져오는가를 나타내는 정부지출승수, 수출의 증가가 얼마만큼 소득증가를 가져오는가를 나타내는 수출승수 등이 있다.
[네이버 지식백과] 승수효과 [Multiplier Effect] (시사경제용어사전, 2017. 11., 기획재정부)
| 제 36 장. 소득-지출 분석과 승수효과 |
1. 기본가정
1) 물가가 어떤 수준에서 결정되느냐에 따라 경제에 미치는 효과는 크게 달라진다. 그런데, 거시경제를 분석함에 있어서 물가 고정을 전제로 한 분석을 소득-지출분석(Income-Expenditure Analysis)이라고 한다.
2) 총수요 = 소비 + 투자 + 정부지출 + 순수출(수출 - 수입) 이다.
(Yd ) (C ) ( I ) (G ) (NX ) ( X - M )
= 기초소비 + 한계소비성향ㆍ(소득 - 조세 + 이전지출) + 독립투자 + 투자 + 정부지출 + 순수출 이다.
(a ) ( b ) ( Y - T + TR0 ) ( I 0 ) (I (r )) (G ) (NX )
2. 균형국민소득의 도출과정
1) 균형국민소득의 도출

① Y2 는 초과공급이 발생한 상태로, 유효수요가 부족하여 의도하지 않은 재고가 증가한 것이다.
따라서 차기에 균형상태가 될 때까지 생산을 조금씩 줄이게 될 것이다. → 국민소득 감소
② Y1 은 초과수요가 발생한 상태로, 유효수요가 증가하여 기업의 재고가 부족함을 의미한다.
따라서 차기에 균형상태가 될 때까지 생산을 점차 늘이게 될 것이다. → 국민소득 증가
2) 다만, 여기서 구한 균형국민소득은 총수요의 측면에서만 분석한 것이다. 그 이유는 시장에서는 항상 잉여생산시설이 존재하기 때문이다. 즉, 공급부문은 독자적 의미가 없다.
3. 승수효과의 의의
1) 승수효과의 개념
① 투자 및 정부지출 등 소득수준의 영향을 받지 않는 독립적인 총수요 지출이 변동하면 균형국민소득은 이보다 더 큰 비율로 변화하는 현상을 승수효과라 한다.
② 균형국민소득의 변화(△Y )를 총수요 지출의 변화( △E )로 나누어 준 값의 크기를 승수(multiplier)라 한다.

2) 승수효과의 전제
① 함수의 안정성
소비함수 등이 안정적이어서 한계소비성향 등이 일정하게 유지되어야 한다. (직선의 소비함수여야 한다.)
② 소득순환의 동태적 과정이 순조롭게 진행되어야 한다.
③ 잉여생산 능력이 존재하여 공급측면에 문제가 없어야 한다. 즉, 유휴생산설비와 유휴노동력이 존재함을 전제한다.
3) 승수효과는 유효수요의 원리에 기초한다.
① 승수효과는 소비가 국민소득의 함수이기 때문에 독립적인 총수요 지출의 증가로 국민소득이 증가하는 소비와 소득의 상호 누적적인 증가가 반복되어 발생한다.
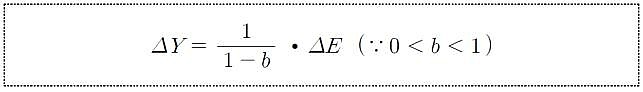
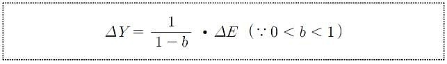
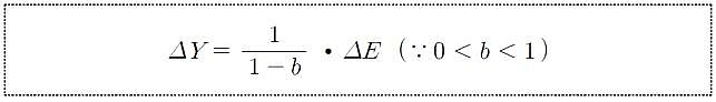
② 한계소비성향을 b 라 하고 최초의 독립적인 총수요의 지출을 △E 라고 하면 이때의 국민소득의 증가( △Y )는 다음과 같다.

③ 결국 승수효과는 주로 한계소비성향( b )의 크기에 의해 좌우된다.
4) 승수효과의 한계
① 한계소비성향이 일정하지 않으면 승수의 크기를 간단하게 정의할 수 없다.
② 대규모의 유휴설비가 존재하는 등의 공급의 애로가 없어야만 승수효과가 발생한다.
③ 승수가 아무리 크다고 하더라도 국민소득이 완전고용 국민소득보다 커질 수는 없다.
④ 도마(E. Domar)에 의하면 투자가 늘어나면 수요뿐만 아니라 공급도 증대되는 이중적인 효과가 있다. 이러한 효과는 케인즈의 승수이론에 고려되지 않으므로 승
수효과만 고려하는 경우 투자증대를 통하여 장기적으로 생산설비의 확대를 통한 소득증대효과는 과소평가될 수 있다.
4. 승수의 종류
개방경제와 b (한계소비성향), t (비례세율), m (한계수입성향), i (유발투자계수)를 가정한 공식이다.

8) 균형예산승수 폐쇄경제 하에서 정액세가 부과되면 균형예산승수는 1 이고, 비례세가 부과되거나 개방경제 하에서는 모두 1 이하가 된다.
9) 승수의 확장
① 개방경제이고 정액세일 때는 t = 0 으로 둔다.
② 폐쇄경제이고 비례세일 때는 m = 0 으로 둔다.
③ 폐쇄경제이고 정액세일 때는 t = 0 , m = 0 으로 둔다.
10) 복합승수인 경우, 투자승수, 정부지출승수, 조세승수의 분모에서 유발투자계수인 i 를 빼준다.

5. 승수이론의 기본 가정과 일반적인 승수효과
1) 승수이론의 기본 가정
① 경제가 불완전고용 상태이며,
② 물가 수준이 일정하여 명목국민소득의 증가가 곧 실질국민소득의 증가와 같으며,
③ 소비함수가 안정적이며(한계소비성향 일정)
④ 생산물 시장만을 분석대상으로 한다.
2) 일반적인 승수 효과
① 한계소비성향(b)이 커질수록 승수는 커진다.
② 세율(t)이 작을수록 승수는 커진다.
③ 한계수입성향(m)이 작을수록 승수는 커진다.
| 참고사항 |
| ※ 균형예산(재정)승수 : 하벨모의 법칙 케인스의 승수이론이 제시되기 이전에는 예산이 균형 상태에서 정부지출의 증가만큼 조세도 증가하면 국민소득에 대한 효과는 전혀 없는 것으로 간주되었다. 그러나 케인스의 승수이론은 위의 경우에도 국민소득이 증가됨을 보여준다. 이때 정부지출의 증가분에 대한 국민 소득의 증가분을 균형예산승수라고 한다. 그것의 크기는 투자, 조세 등에 관해서 어떠한 가정을 하느냐, 아니면 실물부분과 화폐부분을 모두 고려하느냐에 따라서 달라진다. 즉, 케인스 모형에서 정부지출과 정액세를 같은 규모로 증가시키면 균형국민소득은 정부지출(또는 정액세)이 증가한 만큼 증가한다. 이를 균형재정정리라 한다. △G = △T 일 때의 △Ye / △G 를 균형재정승수라 하며, 케인스 모형에서는 균형재정정리에 의하여 ‘1’ 이다. ※ 화폐환상과 착각이론 1) 화폐환상 사람들이 실질변수를 중심으로 하지 않고 명목변수를 중심으로 하여 경제행위를 하는 것을 말한다. 다시 말해서 화폐의 환상이란 사람들이 물가수준의 변화에 따른 실질소득의 변화를 간과하고 명목소득의 변화에만 집착하여 재화에 대한 소비행태나 노동의 공급행태 등을 결정하는 경향을 말한다. 2) 착각이론 물가수준이 예상보다 낮으면 일부 공급자들은 자신의 상대가격이 하락했다고 생각하여 생산을 줄이게 된다. |
출처 : 생활♡이야기 (daum.net)
추가로 읽어볼 내용 :
'잡학피디아' 카테고리의 다른 글
| 2021년 연말정산 : 주택담보대출, 전세자금대출, 신용&체크카드 소득공제, 의료비 세액공제, 기부금 총정리 (2) | 2022.01.25 |
|---|---|
| 2021년 연말정산 : 부양가족 기준 공제 완전 정복 (0) | 2022.01.25 |
| 10억 부모명의집 아들 증여 세금0원? 저가교환 절세법 (0) | 2022.01.25 |
| 22년 7월부터 월급 외 소득 연 2000만원 이상 고소득 직장인 건보료 더 낸다 (0) | 2022.01.24 |
| 누구나 백억 자산가 될 수 있는 3가지 방법 시리즈 (완결) (0) | 2022.01.24 |